扫码分享到微信
城市建设投资是推动城市化进程的关键驱动力,其决策质量直接影响城市发展水平与资源配置效率。当前城市建设投资面临投资规模持续扩大与决策复杂性日益增强的双重挑战,传统依赖经验判断决策模式难以适应现代城市发展的需求。大数据技术兴起为投资决策变革提供新的技术路径,可整合多源异构数据资源并运用智能算法深度挖掘分析,为决策者提供科学化、精准化辅助决策支持。构建基于大数据的城市建设投资辅助决策体系,对提升投资决策效率、降低投资风险、优化资源配置有着重要现实意义。
城市建设投资大数据辅助决策模型构建
城市建设投资决策需求特征解析
城市建设投资决策涉及基础设施、公共服务设施与住房保障等多个领域,决策过程要综合考量经济效益、社会效益与环境效益的协调统一。决策主体面临的核心挑战包含投资时机的准确把握、投资规模的合理确定及投资方向的科学选择,当前城市建设投资决策呈现多目标约束、多主体参与及多阶段动态调整复杂特征。决策者要在有限的财政资源约束下,实现城市发展效益最大化,传统决策模式难以有效处理海量异构数据,缺乏对城市发展趋势的准确预判,致使投资效率低下、资源配置不合理的问题日益凸显。
大数据驱动的辅助决策框架设计
大数据驱动的城市建设投资辅助决策框架采用层次化架构,包含数据感知层、数据处理层、模型分析层、决策支撑层四个核心层级。数据感知层承担着整合城市经济统计数据、人口分布数据、交通流量数据、环境监测数据等多源异构信息的任务,构建城市建设投资数据资源池。
数据处理层运用数据清洗、数据融合与数据标准化技术,来保证数据的质量及一致性。模型分析层基于机器学习算法构建投资需求预测模型、风险评估模型与效益分析模型,为决策提供量化方面的支撑。决策支撑层借助可视化技术与交互界面,将分析结果转化成直观的决策建议,以辅助决策者开展科学决策。
多维度决策因素识别与建模
城市建设投资决策因素包含宏观经济环境与城市发展水平、人口结构变化、土地利用状况及基础设施现状等多个维度内容。宏观经济因素涵盖GDP增长率、财政收入水平及通胀率等指标,直接影响投资资金来源与投资成本。城市发展因素涉及城市化水平、产业结构与就业状况等要素,决定投资需求的类型及规模。人口因素包括人口总量、年龄结构及教育水平等特征,影响公共服务设施投资需求,通过构建多维度因素权重矩阵与关联性分析模型,量化各因素对投资决策的影响程度并建立“因素-决策”映射关系。采用层次分析法与模糊综合评价方法,把定性因素转化为定量指标,为辅助决策模型提供科学的参数输入与约束条件。
城市建设投资智能辅助决策算法
投资方案智能推荐算法
投资方案智能推荐算法采用协同过滤与内容推荐结合的混合推荐策略,通过对历史投资项目成功案例与失败经验进行分析,为决策者提供个性化的投资方案建议。算法构建项目特征向量矩阵,其中涵盖投资规模、建设周期、预期收益、风险等级等关键属性,运用余弦相似度计算方法识别相似项目集合。推荐评分计算公式为:

其中:Rij为项目i对用户j的推荐评分,Scontent为内容相似度,Scollab为协同过滤相似度,Wcontext为上下文权重,α、β、γ为权重系数。算法借助机器学习方法来进行操作,能够自动对权重参数作出调整,提升推荐的准确性及适应各类变化的能力。
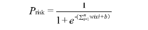
投资风险智能识别模型
投资风险智能识别模型运用多层神经网络结构,融合财务风险、政策风险、市场风险、技术风险等多维度风险因子,构建综合风险评估体系。模型输入层涵盖宏观经济指标、项目基础信息及过往风险事件等特征变量,经隐藏层非线性转换提取潜在的风险模式特征。风险概率计算采用Sigmoid激活函数:

其中:Prisk为风险发生概率(0-1之间的无量纲数值),wi为第i个特征的权重系数,xi为第i个特征值,b为偏置项,n为特征总数。模型借助反向传播技术改进内部参数,精确地对投资项目风险水平分类及其风险程度开展量化评估。
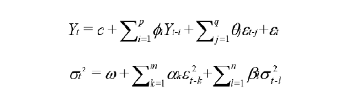
决策效果预测辅助模型
决策效果预测辅助模型依靠时间序列分析与回归预测技术,构建起投资决策短期效果与长期影响评估机制,模型运用ARIMA-GARCH组合模型,去处理投资收益时变特征及波动聚集性。其预测公式表示为:

其中:Yt为第t期投资收益率(%),c为常数项(%),i和θj为自回归和移动平均系数,εt为随机误差项(%),
为第t期条件方差(%²),ω、αk、βl为模型参数。模型借助蒙特卡罗模拟生成多种情景下的效果预测,以此为决策者提供投资决策方面的风险收益权衡分析,以及最优决策建议。
城市建设投资大数据辅助决策系统
基于数字孪生的沉浸式决策环境
数字孪生技术构建城市物理空间高保真虚拟映射模型,以此为投资决策提供沉浸式三维可视化环境。系统会集成建筑信息模型BIM、地理信息系统GIS与物联网传感器数据,进而建立城市基础设施、交通网络与公共服务设施动态数字化表征。虚拟环境能够支持投资项目进行空间布局预演,让决策者可直观观察项目对周边环境影响的效果,评估投资方案空间适配性。数字孪生平台运用实时数据同步技术,保持虚拟模型与真实城市状态一致性更新,确保决策依据时效性及准确性。沉浸式交互界面采用虚拟现实VR与增强现实AR技术,支持多用户协同决策和远程参与,提升决策过程参与度和决策结果认同度。
多维数据融合的智能可视化展示
智能可视化展示系统运用多层次信息架构,把复杂投资数据转化成直观图表、地图与仪表盘等可视化形式。系统将结构化数据与非结构化数据进行整合,利用数据挖掘技术提取关键信息特征,构建动态交互式数据看板。可视化组件涵盖投资规模热力图、风险分布雷达图、收益趋势折线图、项目进度甘特图等多种展示形式,支持用户进行自定义视图配置及数据筛选操作。系统采用响应式设计理念以适配不同终端设备,确保决策信息在移动端、PC端与大屏幕显示设备上呈现最佳展示效果。数据融合算法采用加权平均及主成分分析方法,消除因数据源差异所带来的偏差,提高可视化结果的准确性与一致性。
智能辅助决策系统性能评价体系
系统性能评价体系按照准确性、响应性、可用性、稳定性这四个维度来构建综合评价指标框架。准确性指标包含推荐算法的精确率、召回率、F1分数,以及风险预测模型的预测准确度与误差率。响应性指标涵盖系统查询响应时间、数据处理速度与用户界面交互延迟,要求系统在高并发情况下保持毫秒级响应能力。可用性评价通过用户满意度调研、界面友好度测试与功能完整性检查,确保系统符合决策者的实际使用需求。稳定性测试包括系统连续运行能力、故障恢复速度及数据安全保障水平,要求系统具备7×24小时不间断服务能力。评价体系采用层次分析法确定各指标权重,为系统优化和升级提供量化依据。
结束语
城市建设投资大数据辅助决策系统的构建,给城市投资决策科学化提供有效技术手段。通过整合决策模型构建、智能算法设计与系统平台开发,形成完整辅助决策技术体系,有效解决传统决策模式中数据利用不充分、风险识别不准确与决策支持不全面等关键问题。数字孪生技术与可视化展示的融合应用,显著提升决策环境沉浸性与决策过程直观性。随着人工智能技术与大数据处理能力持续发展,城市建设投资辅助决策系统将向更智能化、个性化方向演进,为城市可持续发展提供更精准投资决策指导及技术支撑。
(朱江川 宁波市北仑区城市建设投资集团有限公司)
京ICP证000080(一)-16
京公网安备11010802009845号