扫码分享到微信
混凝土是建筑工程里的核心材料,浇筑质量直接关乎结构安全与使用寿命。传统质量控制方法主要靠人工巡检及抽样检测,很难实现全过程的实时监控。随着物联网、大数据及人工智能技术的快速发展,给混凝土浇筑质量评估提供新的技术路径。
工程概况
某大型综合性商业建筑项目位于城市核心区域,总建筑面积达25万平方米,建筑高度约120米,采用钢筋混凝土框架-剪力墙结构体系,地上30层与地下3层的复合功能设计,集商场、写字楼与酒店等多个业态于一体。该项目施工工艺涵盖主体结构施工、幕墙安装及智能化系统集成等多个专业领域。由于施工区域地质条件复杂且地下水位较高,工程需要进行降水与地基加固处理,严格按照绿色建筑标准采用高性能混凝土、节能玻璃及新型保温材料等绿色建材,使得混凝土浇筑质量控制面临技术要求高、影响因素多及监测难度大等挑战,传统人工检测方法已无法满足如此复杂工程的精细化质量管理需求。
大数据辅助混凝土浇筑质量评估技术体系
多维数据采集传输架构
混凝土浇筑质量评估的多维数据采集体系在该项目中部署了300多个传感器,通过在施工现场主承重柱与框架梁等关键位置布设应力应变传感器,实现结构受力状态的实时监测。而混凝土浇筑区域安装的50台混凝土坍落度测试仪及80台温度传感器,能够对混凝土施工参数进行精确测量。传感数据采集过程中采用加权卡尔曼滤波算法处理多源数据融合,传感器测量值表示为:

式中:Xi,t指的是传感器i在时间t时候的测量值,Si代表的是传感器测量得到的真实值,Nt表示的是环境噪声干扰,εi,t是随机误差,他服从正态分布N(0,σ²)。
数据传输采用无线传感网络跟有线网络相互结合的模式,并且通过边缘计算节点来进行初步处理,以此确保传输速率能够达到100MB/s云端平台采用分布式存储架构,来实现海量数据的高效管理和实时更新。
机器学习识别技术
该项目部署的机器学习识别技术以深度置信网络为核心算法,通过处理来自300多个传感器的多维时序数据,实现混凝土质量特征的智能识别。其中卷积自编码器,从50台混凝土坍落度测试仪及80台温度传感器采集的实时数据中提取高维特征信息,从而精确识别混凝土表面裂缝、蜂窝及麻面等质量缺陷。改进型深度置信网络的输入层整合振动频率、结构应力及温度梯度等多源监测信息,隐藏层采用卷积自编码器提取复杂的非线性特征关系,输出层计算混凝土质量综合评分并执行等级判定功能。系统运用时序残差网络结合误差反向传播算法,处理温度传感器的连续数据流,识别质量参数的动态变化趋势,支持向量机与随机森林等集成学习方法,融合多个基础算法的预测结果来提升识别准确性。识别体系基于训练优化的超500GB工程质量数据,涵盖强度测试、施工作业及原材料配比数据分析。
实时监测与预警体系
实时监测系统通过多级预警机制,对混凝土浇筑过程进行动态监控,建立了完整的质量风险预警响应体系。混凝土浇筑温度实时监测曲线,展示了该项目中80台温度传感器构建的监测网络采集的温度数据变化过程,混凝土内部温度在浇筑18小时后达到68.5°C峰值,并触发黄色预警机制,表面温度与内部温度存在明显差异。Apache Kafka消息队列处理来自传感器网络的实时数据流,Apache Flink计算引擎实现毫秒级质量参数分析,当温度梯度超过预设安全阈值时,系统自动发出预警信号。可视化监控界面采用Web技术开发,实时展示混凝土温度分布热力图,以及强度发展时间曲线等信息。移动端应用程序使现场施工人员能够及时接收预警通知,预警体系通过与BIM三维模型集成,实现质量监测数据的精确空间定位。
大数据分析与建模技术
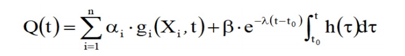
大数据分析与建模技术通过多目标优化回归方法建立混凝土质量状态的综合评价模型,该模型整合结构应力、材料强度、环境参数及能耗监测等多维数据源,采用熵权法组合权重对不同质量指标进行科学赋权。质量状态评价模型表达为:

式中:Q (t) 指的是时间t时刻的综合质量指标,αᵢ 代表不同质量参数的动态权重且满足,∑αᵢ=1,gᵢ(Xᵢ,t) 是施工过程质量因子的影响函数,β 为低碳健康建筑影响因子,h (τ) 属于历史质量数据的影响函数,λ 则是时间衰减因子。
系统运用深度确定性策略梯度算法结合强化学习框架,构建施工质量反馈优化模型,通过分布式计算框架,提升海量数据的处理效率,建立具备自适应学习能力的质量预测及控制模型。
大数据质量评估系统性能验证与效果分析
表1数据表明,大数据质量评估系统在精度验证方面表现突出,施工偏差率从5.29%降低至2.13%,改善幅度达59.74%;缺陷识别率从78.54%提升至95.87%,改善幅度达22.07%。质量合格率从85.11%提高至98.46%,15.69%的改善幅度反映出多目标优化回归方法的科学性。监理工作效率提升70%,体现了数字化平台在减轻人工检测负担方面的作用,数据管理效率提升90%证明了系统在质量数据自动采集、存储及分析方面的技术优势。

施工质量管控效果对比分析
施工质量管控效果验证,通过多维度指标对比展现系统应用价值。

表2数据显示,大数据管控方式在施工效率及环境效益方面均实现显著改善,施工工期从316.42天缩短至217.83天,工期缩短31.16%,资源利用率从66.94%提升至85.37%,设备闲置率从18.11%降低至5.49%,降幅达69.69%。环境效益方面,CO2排放量从1269.31吨减少至928.62吨,26.84%的减排效果及能耗强度20.26%的降低,证明了数据驱动的施工能耗优化策略的有效性,建筑废弃物回收率40.36%的提升,展现了智能分类回收管理系统的应用价值。
结束语
大数据辅助混凝土浇筑质量评估技术,构建了覆盖数据采集、特征识别、实时监测与智能分析的完整技术体系。通过物联网传感器网络与机器学习算法的深度融合,实现了混凝土浇筑过程的全方位智能监控。工程应用验证表明,该技术在降低设备闲置率、提升资源利用效率及减少碳排放等方面效果显著。大数据技术推动了传统质量管理模式的创新升级,为建筑工程质量控制提供了科学可靠的技术手段。未来,需要进一步完善数据标准化体系,优化算法模型性能,推动大数据技术在建筑工程质量管理领域的深度应用。
(王涛 王婧 许宁 山东能源集团建工集团有限公司三十七处)
京ICP证000080(一)-16
京公网安备11010802009845号