扫码分享到微信
数字经济时代背景下,传统招标采购模式面临效率低下、主观性强及标准不统一等诸多挑战,大数据技术与人工智能算法的深度融合为解决这些问题提供了新的技术路径。
某电力企业智能评标架构
某大型电力央企在数字化转型过程中构建起以多平台一体化为核心的智能评标体系,该体系采用三层递进式架构设计理念达成全流程智能化覆盖,从底层数据处理直至上层决策应用均涵盖在内。基础数据明细层承担海量结构化数据存储管理功能,把18万余条物资主数据、供应商资质、技术参数及历史绩效等多维信息做标准化处理,采购应用数据层借助数据清洗、格式转换及质量检测等预处理机制,将底层明细数据转化成可视化的供应商信息数据表,实现数据结构化呈现及动态更新。智能评审层运用人工智能算法对预处理后的数据展开深度分析,通过筛选加汇总的模块化配置逻辑,实现初评自动否决与详评智能赋分等核心功能。
智能评标大模型构建
大数据基础模型构建
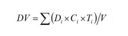
数据基础模型融合区块链分布式存储技术与边缘计算架构,构建支撑海量评标数据实时处理新型基础设施。该模型运用数据湖技术对供应商画像数据、设备数字孪生信息及市场行为轨迹等多维数据统一治理,形成含290亿条交易记录超大规模数据集,智能数据治理引擎运用深度强化学习算法自动识别数据质量问题,通过自适应数据修复机制提升数据可用性。为评估数据融合效果,建立数据价值密度评估公式:

其中Di表示第i类数据的多样性指数,Ci代表数据的完整性系数,Ti为时效性权重,V为数据总体积,该公式量化了多源数据融合后的价值密度,指导模型在海量数据中精准提取高价值信息。
多层次模型架构设计
多层次模型架构把元宇宙虚拟仿真技术与数字孪生理念相融合,构建出沉浸式智能评标决策环境。架构底层采用物联网传感器网络来实时采集设备运行状态数据,中间层运用图神经网络技术构建供应商关系图谱,将企业间的合作网络、技术传承关系及市场竞争态势做可视化建模,顶层决策引擎集成虚拟现实交互界面,评标专家能在三维虚拟空间中直观查看技术方案、检验设备模型及模拟项目实施过程。如图1所示,整个架构通过感知采集层、数据处理层及决策引擎层的三层递进式设计,实现从底层数据感知到顶层智能决策的完整技术链路。架构创新性引入量子计算模拟器,利用量子并行计算特性,加速复杂评标规则的组合优化求解,让评标过程从二维文档审阅升级为三维沉浸式体验。

智能算法模型训练
智能算法模型训练采用多模态深度学习技术,结合计算机视觉、自然语言处理及知识图谱推理能力,实现对投标文件的全方位智能理解。训练框架运用对抗生成网络技术合成稀缺场景的评标样本,通过数据增强策略扩充训练集至百万级规模,模型核心采用Transformer-XL架构处理超长文档序列,集成多头注意力机制捕获评标要素间的复杂关联关系。算法优化目标函数设计为:

其中Laccuracy为预测准确性损失,Lfairness为公平性约束损失,Lefficiency为效率优化损失,λ1、λ2、λ3为动态权重系数,该多目标优化函数确保模型在提升预测精度的同时兼顾评标公平性及处理效率,实现了对25万项结构化数据的实时处理。
模型优化与迭代机制
模型优化与迭代机制融合自适应学习及群体智能算法,构建具备自我进化能力的智能评标生态系统。系统采用在线强化学习框架,通过与评标环境持续交互,不断优化决策策略,利用经验回放机制累积历史决策经验,优化引擎运用遗传算法及粒子群优化相结合的混合进化策略,自动搜索最优的网络结构及超参数配置,系统建立基于数字孪生的模型性能预测机制,通过虚拟仿真环境提前验证模型更新效果,降低线上部署风险。通过云边协同架构,将轻量化模型部署至边缘节点,实现低延迟推理服务,同时在云端进行大规模模型训练及知识蒸馏,使智能评标系统能够自主学习新的业务规则及市场变化。
系统实现与效果评估
平台构建技术实现
智能评标大模型平台实现过程采用DevOps持续集成理念,通过Docker容器技术将各功能模块进行封装部署,利用Kubernetes编排引擎实现服务的自动化管理及负载均衡。平台构建采用分阶段实施策略,运用ETL工具将某电力企业的18万余条物资主数据从传统关系型数据库迁移至Hadoop分布式文件系统,通过数据分区及索引优化技术提升查询效率。算法模型集成通过RESTful API接口实现松耦合连接,将训练完成的深度学习模型转换为ONNX格式并部署至推理服务器集群,支持模型的热更新及版本回滚,系统采用消息队列机制处理高并发评标请求,通过异步处理及缓存预热策略将单次评标响应时间控制在秒级范围内,自动检测系统瓶颈并触发弹性扩容机制。
应用效果量化评估
智能评标大模型平台在某电力企业的实际部署应用中展现出显著的性能提升效果,通过对传统人工评标模式与智能化评标系统的对比分析,验证了大数据驱动下智能评标技术的实用价值及应用前景。通过表1数据分析可以发现,智能评标系统处理大规模数据展现了传统模式难及的优势,尤其在数据处理能力上实现近20倍的跃升,这得益于分布式计算架构及智能算法深度融合应用。系统在保证评标质量前提下大幅缩短了评标周期,专家评分一致性显著改善,说明智能辅助评审功能减少了主观判断差异,异议投诉率大幅下降充分证明了智能评标系统提升了采购公平性及透明度。

结束语
大数据支持下的智能评标大模型代表了招标采购领域技术创新的重要方向,通过构建多层次模型架构及智能算法体系,实现了从传统人工评标向数据驱动智能评标的根本转变。某电力企业的成功实践证明该技术路径的可行性及有效性,随着区块链与物联网等新兴技术的不断发展,智能评标系统将向更加透明化与精准化的方向演进。未来研究应重点关注跨行业模型迁移能力、多方协同决策机制及评标全流程的智能化覆盖,推动形成更加公平高效的现代化招标采购生态体系,为经济社会高质量发展提供有力支撑。
本文系盘古云链(天津)数字科技有限公司立项课题《智能评标大模型研究》(立项编号:IKY2023YF00601)的阶段性研究成果。
(王宇轩 盘古云链(天津)数字科技有限公司)
京ICP证000080(一)-16
京公网安备11010802009845号